
Ice begins to change well before it melts. Even far below freezing, its surface forms a thin, liquidlike layer through premelting—a process relevant in cloud formation, cryopreservation, and planetary science. We provide a machine learning framework that combines high-resolution atomic force microscopy and computer simulations to map the ice surface at the atomic level, identifying an amorphous ice layer. This layer is a disordered, solidlike state that appears between 121 and 180 K prior to the liquidlike layer. Recognizing this previously overlooked phase informs our understanding of ice melting and growth. Our AI-assisted framework offers a promising approach to exploring other problems in materials and surface science, including complex, disordered surfaces, catalysts, functional materials, and biomolecules. Phys. Rev. X 15, 041048 (2025). Phys.org News PKU News MIT Technology Review
PDF Download

Crystallization is a fundamental process in materials science and natural systems, underpinning phenomena ranging from mineral formation to the fabrication of functional materials. In three dimensional bulk systems, crystallization is commonly described by classical nucleation theory, which involves the formation and growth of a critical nucleus. However, when crystallization occurs in two-dimensional or interfacial environments, the process becomes more complex and may deviate from this classical picture. … Nature Communications 16, 8628 (2025). PKU news Guangming Daily news
PDF Download

The assembly of water molecules on foreign substrates, forming precipitation such as rain and snow, is a ubiquitous phenomenon that influences Earth’s ecosystems and environments. Despite broad and intense research interests, the scenario of these heterogeneous nucleation and growth process remains far from well-understood. In the well-established ice phase diagram … Nature Communications 16, 7349 (2025).
PDF Download

Low-dimensional water transport can be drastically enhanced under atomic-scale confinement. However, its microscopic origin is still under debate. In this work, we revealed the atomic structure and transport of two-dimensional water islands on graphene and hexagonal boron nitride surfaces combining experiment and simulation. The lattice of the water island was incommensurate with the graphene surface but commensurate with the boron nitride surface owing to different surface electrostatics. These results provided the microscopic origin of the frictionless water transport at low dimensions and highlighted the sensitivity of structural superlubricity to the surface electrostatics, which is absent in the previous studies on the conventional solid-on-solid friction. … Science 384, 1254-1259 (2024). ICQM news
PDF Download

In the conventional view, the crystalline ice surface is simply considered as a truncated plane from the bulk without any reconstruction. However, it is commonly known that the atoms on solid surfaces tend to rearrange to minimize the surface energy. Whether a similar reconstruction is present on the ice surface and what the proton order is still remain elusive. In addition, ... Nature 630, 375–380 (2024).
PDF Download PKU news PKU news (English version) Nature Comments

The atomic-scale arrangement and transport of hydrated ions under confined geometry play crucial roles in water desalination, aqueous and non-aqueous secondary batteries, biological ion channels and other applied fields or natural phenomena. Ion hydration and dehydration processes are critical for the permeability and selectivity of both biological and artificial ion channels ... Nat. Nanotechnol. 19, 479–484 (2024)
PDF Download

The topological surface state arising from the nontrivial topology of the bulk band structure has attracted a wide range of interest. Compared with electrons, the magnon propagation in magnetic materials can be more intuitively reflected in the spin precession and generate different effects. Using molecular dynamics simulations, we ... Phys. Rev. B 108, 094427
PDF Download

We show that nanoscale water capillary bridges (WCB) formed between patchy surfaces can extract energy from the environment when subjected to changes in relative humidity (RH). Our results are based on molecular dynamics simulations combined with a modified version of the Laplace-Kelvin equation, which is validated using the nanoscale WCB... Langmuir 2023, 39, 38, 13449-13458
PDF Download

The plastic deformation of crystalline materials can be understood by considering their structural defects such as disclinations and dislocations. Although also glasses are solids, their structure resembles closely the one of a liquid and hence the concept of structural defects becomes ill-defined... Nature Communications (2023) 14:2955
PDF Download Pkuphyers news Nat. Comm. Comments

Based on large-scale density matrix renormalization group techniques, we investigate the critical behaviors of quantum three-state Potts chains with long-range interactions. Using fidelity susceptibility as an indicator, we obtain a complete phase diagram of the system. The results show that as the long-range interaction power 𝛼 increases... Phys. Rev. E 107, 054122
PDF Download

In recent years, programmable Rydberg-atom arrays have been widely used to simulate new quantum phases and phase transitions, generating great interest among theorists and experimentalists. Based on the large-scale density matrix renormalization group method... Phys. Rev. B.106.165124.
PDF Download

Relevant to broad applied fields and natural processes, interfacial ionic hydrates have been widely studied by ultrahigh-resolution atomic force microscopy (AFM). However, the complex relationship between AFM signal and the investigated system makes it difficult to determine the atomic structure of such a complex system from AFM images alone... National Science Review, nwac282.
PDF Download

Hydrated protons play a critical role in numerous physical and chemical processes. However, their atomic-level characterization remains experimentally challenging, especially for interfacial systems. Using qPlus-based atomic force microscopy and path integral molecular dynamics... Science 377(6603) 315-319 (2022).
PDF Download

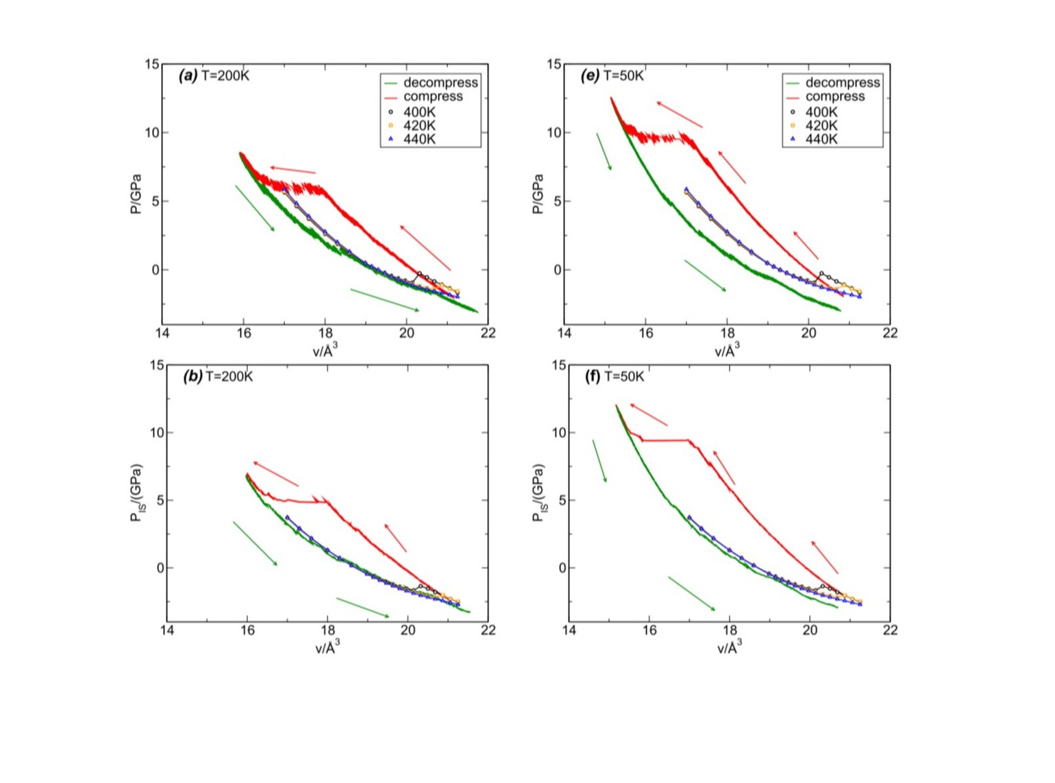
Using the potential energy landscape (PEL) formalism and molecular dynamics simulations, we investigate a phase transformation between two amorphous solid states of gallium, namely, a low-density amorphous solid (LDA) and a high-density amorphous solid (HDA), and compare with its equilibrium counterpart, the liquid–liquid phase transition (LLPT)... J. Chem. Phys. 154, 134503 (2021).
PDF Download

Water and hydrogen are examples of substances proposed to exhibit a liquid-liquid critical point (LLCP) at conditions where nuclear quantum effects are relevant. The LLCP is usually accompanied by lines of maxima in density ρ and thermodynamic response functions... Phys. Rev. Research 2, 013153.
PDF Download